c0_y

C0_y_0 Porn C0 Y

The purpose was to lower the cpu speed when lightly loaded I am trying to learn the basics of directory traversal

35% represents how big of a load it takes to get the cpu up to full speed Please let me know if anything looks wrong: Any processor after an early core 2 duo will use the low power c states to save power

c0_y

The powersaver c0% setting is obsolete and has been obsolete for about 15 years

Throttlestop still supports these old cpus.

C0 works just fine in most teams C1 is a comfort pick and adds more damage C2 she becomes a universal support and one of the best characters in the entire game. To gain full voting privileges,

C0 is core fully active, on c1 is core is idled and clock gated, meaning it's still on but it's inactive C6 is the core is sleeping or powered down, basically off Residency means how much time each core is spending in each state within each period. Also i'll go for the c1 only if her c0 feels not as rewarding and c2 nuke ability isn't nerfed

c0_y
c0_y

Details

So based on her attack speed, kit, and rotation i might end up with c0r1 or c1r0.

Whitley phrases his proof in the following way The dual of $\ell^\infty$ contains a countable total subset, while the dual of $\ell^\infty/c_0$ does not The property that the dual contains a countable total subset passes to closed subspaces, hence $\ell^\infty/c_0$ can't be isomorphic to a closed subspace of $\ell^\infty$. How are $c^0,c^1$ norms defined

I know $l_p,l_\\infty$ norms but are the former defined. As a continuation of this question, one interesting question came to my mind, is the dual of c0 (x) equal to l1 (x) canonically, where x is a locally compact hausdorff space ?? Did some quick min/max dmg% increase calcs for furina's burst Sharing in case anyone else was curious

Shorty ass so fat😭 : c0_y
Shorty ass so fat😭 : c0_y

Details

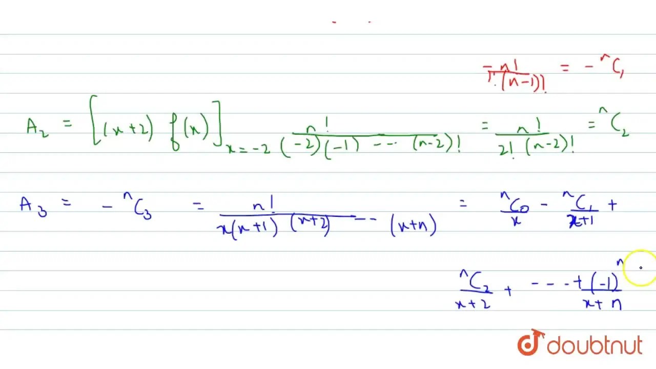
Prove that (^n C0)/x-(^n C0)/(x+1)+(^n C1)/(x+2)-+(-1)^n(^n Cn)/(x+n)=
Prove that (^n C0)/x-(^n C0)/(x+1)+(^n C1)/(x+2)-+(-1)^n(^n Cn)/(x+n)=

Details