Shorty ass so fat😭 : c0_y(01)

Shorty ass so fat😭 : c0_y(01)


Image gallery: C0_y_0 Porn

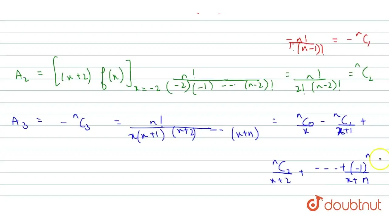
c0_y Shorty ass so fat😭 : c0_y Prove that (^n C0)/x-(^n C0)/(x+1)+(^n C1)/(x+2)-+(-1)^n(^n Cn)/(x+n)=